公司简介 资质和荣誉 全自动数控旋压机 管件加工设备 弯管机 空调两器加工设备 长短U管加工设备 热交换器胀管机 预绞式耐张线夹生产线 芳纶蜂窝复合材料 汽车行业生产设备 工业机械手
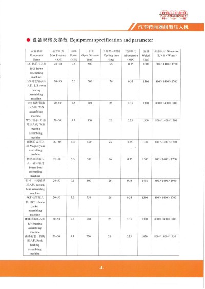
该机目前主要用于汽车制造行业中转向系统的装配流水线上,该机采用PLC控制,客户通过改变程序和更换工装来完成各种需把轴承压入工件的装配工序。伺服系统实现压入过程中的轴承精确定位,检测并自动排除不合格工件。
(点击可放大)
电话: 0760-88920838
传真: 0760-88819519
手机:13928165198 蔡先生(销售)
联系人: 田垒(总经理)
邮箱: sales@clg.com.cn
地址: 中山市火炬高新区建业西路28号